表征泵性能的基本参数有六个,分别是流量、扬程、转速、汽蚀余量、功率、。这些基本参数在泵的样本中或铭牌上都会显示出来,而且在泵行业中其代号是*的,下面详细进行介绍。
1、流量Q
流量是单位时间内从泵出口排出的液体流量(体积或质量)。
流量的符合用Q表示:(1)单位:体积流量(Q):m3/h,m3/s,m3/h,L/h,L/S、gsl(加仑)等;质量流量(Qm):T/h,kg/s;(2)体积流量与质量流量的关系:Qm=ρQ。
单位立方米每小时(m3/h),习惯上称为“方”。例如某泵流量为100m3/h,就称该泵的流量为100方。但在过去人们还用到单位吨每小时(t/h),习惯上称为“吨”。因常温清水的比重为1,所以对常温清水来说1“吨”=1"方”。
2、扬程H
单位重量液体从泵进口处(泵进口法兰)到泵出口处(泵出口法兰)能量的增值。扬程是泵产生的总水头。其值等于泵出口总水头和入口总水头之差。符号是H,单位是米(m)。泵实际打上高度比扬程低,实际中扬程仅仅是泵打上高度的一个参考值。在选泵时应特别注意这一点,应保留一定的余量。
水头是单位重量液体的能量,在水力学中称为水头。通常由压力水头
(m)、速度水头
(m)和位置水头Z(m)三部分组成。入口总水头(又叫吸入扬程)符号Es,单位为m。则

式中Ps——泵入口处液体的静压力,单位为帕斯卡,简称帕(Pa);
Vs——泵入口液体的速度,单位为米每秒(m/s);
Zs——泵入口处到任选的测量基准面的距离,单位为米(m)。
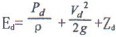
出口总水头(又叫排出扬程),符号是Ed,单位为m。则

式中Pd——泵出口处液体的静压力,单位为帕斯卡,简称帕(Pa);
Vd——泵出口处液体的速度,单位为米每秒(m/s);
Zd——泵出口处到任选的测量基准面的距离,单位为米(m)。
因此扬程为

扬程与压力的关系
我们在查看有关水资料时会发现水泵的参数有时用压力表示,有时用扬程表示,压力和扬程之间到底有什么关系?
对于叶片式泵来说,一台泵能把介质输送到多高,从理论上讲和介质的比重等参数并没有直接关系,而仅仅决定泵本身的水力模型,因此,对于叶片或泵都用扬程表示水泵参数。
而容积式泵恰恰相反,泵本身的机构方式只能决定出口压力,具体能达到多达高度和介质的比重等参数有直接关系,因此对于容积式泵我们用进出口压力来表示水泵参数。
压力与扬程有以下关系:
P=ρgH
式中:P:压力差(单位Pa)
ρ:介质的密度(Kg/m3)
g:重力加速度(9.8m/s)
H:扬程(m)
从以上关系,我们只要知道介质密度和扬程即可算出泵的出口压力,反之,只要知道泵的出口压力和介质密度,即可算出介质能达到的高度。对于密度与水相同的介质,可粗略改为1MPa的压力等于100m的扬程。
3、转速n
转速是泵轴单位时间的转数,符号是n,单位是转/分/(r/min)。我国离心泵的转速有2900r/min和145r/min两种,配调速电机除外。
转速变化(运行时泵的参数(Q、H、N)按下列规律变化;
式中:Q、H、N、n为2900r/min的参数,Q1、H1、N1、n1为变速后的参数。
4、汽蚀余量NPSH
5、功率P
泵的功率通常是指输入功率(也称轴功率)。也就是原动机传递给泵轴上的功率。用Pa表示,单位为千瓦(KW)。有时也用马力(HP)用柴油做动力时。1HP=0.735KW,功率的计算公式为:
式中ρ——泵输送液体的密度,单位为公斤每立方米(kg/m3);
Q——泵的流量(m3/s);
H——泵的扬程(m);
η——泵的效率(%)。
除轴功率外,我们经常还接触到下列一些有关功率的概念。
(1)配套功率
配套功率是指与泵机组相配的电机的功率。
(2)有效功率(也称输出功率)Pu
有效功率是指泵传递给液体的功率。用Pu表示,单位为千瓦(KW),计算公式为
6、效率η
泵的效率是有效功率和轴功率之比。用η表示,即
如果知道了效率η,则轴功率为:
这个公式在以后计算轴功率中经常用到。用这个公式我们可以根据用户所提供的流量、扬程和介质的密度估算出该泵的轴功率,从而进一步确定配套功率的大小。
机组效率
机组效率是指泵的输出功率和电机的输入功率之比。
机组效率=泵效率×电机效率。
粘度
流体各部分之间有相对运动出现时,在做相对运动的各部分流体之间就会产生阻止这种相对运动的内摩擦力。粘度是用来衡量液体内摩擦力大小的物理数据,其大小由物质的种类、湿度、浓度等因素决定。
粘度:动力粘度ц:厘泊(cp),泊(p)
运动粘度v:里沲(cst),沲(st)
特性:随温度升高而降低,随压力升高而增大。
关系:
单位:动力粘度Pa●S(帕斯卡●秒);MPa●S(毫帕斯卡●秒)1cp=1mpa●s 1pa●s=10p=
cp
运动粘度

不同类型的泵使用粘度范围(cst)
| 叶片式泵 | 磁力离心泵 | ≤100 |
| 密封式离心泵 | ≤150 |
| 漩涡泵 | <37.5,zui大不超过115 |
| 容积泵 | 齿轮泵(外啮合,KCB型) | <300 |
| 齿轮泵(内啮合圆弧形) | <1500 |
| 齿轮泵(内啮合) | <30000 |
| 计量泵 | ≤800 |
| 往复泵 | ≤850 |
| 螺杆泵、隔膜泵 | ≤10000 |
粘度决定选择何种泵型,所以泵选型时需要提供粘度数值。
水泵的基础参数介绍由温州中耐泵阀有限公司原创,相关更多信息请点击:http://www.b-fz.com/。